پیستون یک بخش رفت و برگشتی در سیلندر هیدرولیک می باشد که به شافت متصل است. همچنین جای سیل های هیدرولیک برای جلوگیری از نشتی بین سیلندر و پیستون، روی پیستون تعبیه می شود و توسط گاید رینگ ها فیت می شوند و رینگ های سایشی برای محافظت از سطح درونی سیلندر که پرداخت شده است، ساخته می شود.
پیستون در برابر بار کاملی که توسط روغن تحت فشار اعمال می شود، قرار گرفته و آن را به شافت انتقال می دهد. پیستون اولین عضوی است که بار را تحمل کرده و آن را انتقال می دهد، به همین دلیل پیستون باید برای عملکردی رضایت بخش طراحی شود.
طراحی پیستون:
با توجه به مونتاژ با شافت، پیستون را می توان در دو دسته طبقه بندی نمود:
الف)پیستون و شافت یک تکه
ب)پیستونی که مونتاژ می شود

پیستون به عنوان بخش جدایی ناپذیر شافت عموماً نوع یک تکه برای شافت بزرگ و سیلندر با ظرفیت (گنجایش) بالا به کار می رود. این نوع طراحی در سیلندر هیدرولیک زمانی که طول شافت کوتاه و قطر آن بسیار نزدیک به قطر داخلی سیلندر می باشد، مقرون به صرفه می باشد.این نوع پیستون و شافت از نوع دیگر محکم تر می باشد. همیشه هم محوری کامل بین پیستون، شافت، لوله سیلندر و درب سر سیلندر هیدرولیک وجود دارد. به همین دلیل سیل ها عمر بیشتری داشته و کمتر دچار سایش و پارگی می شوند.
پیستون و شافت مونتاژ شده:
این نوع پیستون توسط رزوه در انتهای شافت، به شافت متصل می شود و توسط یک مهره قفل کن نگهداری می شود.
این نوع مونتاژ به صورت گسترده ای درصنعت به کار می رود و برای تولید انبوه پیستون طبق استاندارد، مناسب می باشد. شافت نیز با سطحی صاف و کروم کاری شده به تولید انبوه می رسد. همان طور که قطر داخلی سیلندر، قطر بیرونی شافت، سیل ها و غیره طبق استاندارد بین المللی تولید می شوند. بنابراین هر وقت که سیلندر هیدرولیک ساخته می شود، لوله و شافت برحسب کورس مورد نیاز بریده، پیستون و سایر اجزاء که برای همان سیلندر می باشند با یکدیگر مونتاژ می شوند. بنابراین یک سیلندر هیدرولیک با کیفیت خوب طبق اندازه های استاندارد می تواند در زمان بسیار کوتاهی تولید شود.

محاسبات ابعاد پیستون:
1) قطر بیرونی پیستون متناسب با قطر داخلی لوله سیلندری با تلرانس f8 ماشین کاری می شود. اگر پیستون از نوع ساده باشد قطر داخلی پیستون باید طبق استاندارد H7 و H8 بوده و سطح آن برای قرار دادن سیل ها در آن به خوبی پرداخت شود.
2) ضخامت پیستون به مقدار باری که باید انتقال دهد، بستگی دارد و دراثر اعمال فشار ممکن است پیستون به دو نوع شکسته شود. نخست توسط بار خارج از محور و دوم توسط تنش مقطعی. ما به مطالعه و بررسی چگونگی ضخامت پیستون جهت رفع این دو مشکل خواهیم پرداخت.
ضخامت پیستون انتخابی تحت بار خارج از محور:
قطر بیرونی پیستون متناسب با قطر داخلی سیلندر تعیین می شود. روغن تحت فشار، بار یکنواختی را به تمام سطح مقطع آن اعمال می کند، درحالی که پیستون این بار را در طرف دیگر به سطح مقطع کوچیکتر شافت در یک ناحیه بسیار کوچک دایره ای توسط شافت وارد می آورد. از این رو به سطح مقطع پیستون فشار اعمال شده و شروع به خم کردن پیستون می کند. تمایل به خم شدن، ساختار پیستون را شبیه یک بشقاب می کند.

فرمول تجربی زیر را می توان برای محاسبه ضخامت پیستون به کار برد.
T = ضخامت پیستون
C = ثابت تجربی
W = مجموع بار در پیستون
Ft = تنش کششی مجاز که به جنس پیستون بستگی دارد
ثابت تجربیC به عوامل زیر بستگی دارد:
الف) نسبت قطر خارجی پیستون و قطر شافت
ب) نوع مونتاژ پیستون و شافت که یک تکه است یا از نوع دیگر
مقدار C را می توان از جدول زیر انتخاب نمود:
| نسبت R⁄T | نوع ساده پیستون | |||||
| نوع ساده | ||||||
| جدایی ناپذیر(یک تکه) | ||||||

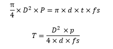
ضخامت پیستون و تنش شکست:
پیستون تحت تنش شکست قرار خواهد گرفت، به همین دلیل ضخامت پیستون جهت مقابله در برابر شکست باید به اندازه کافی باشد. کمترین ضخامتی که پیستون جهت مقابله بر آنها نیاز دارد طبق محاسبات زیر به دست می آید.
فشارکاری× مساحت داخلی سیلندر= نیرویی که به پیستون وارد می شود

t×d = ضخامت × عمق = محدوده محیطی مقاوم در برابر برش
اگر حداقل تنش شکست مجاز آلیاژ شافت را بدانیم ضخامت پیستون را طبق محاسبات زیر می توانیم به دست آوریم.
مقاومت شکست پیستون = نیرویی که به پیستون وارد می شود
که:
D = قطر داخلی سیلندر
P = فشار کاری
d = قطر رم
fs = تنش برشی
t = ضخامت پیستون
نکات و حقایقی را که هنگام طراحی و ساخت پیستون باید به یاد داشته باشید.
1- پیستون توسط شافت پشتیبانی می شود. ناحیه دایره ای شکلی که بین پیستون و شافت در تماس با یکدیگر می باشند تحت فشار قرار گرفته و اگر تنش فشاری بیش تر از تنش مجاز پیستون یا شافت باشد آنگاه منطقه دایره ای شکل خواهد شکست. بنابراین باید مراقب بود که پیستون در یک ناحیه دایره ای شکل بزرگ تری پشتیبانی شود و تنش فشاری که توسط بار اعمال شده به وجود می آید، در حد مجاز باشد.
2- قطر داخلی سیلندر با کیفیت Ra 4/0 باید پرداخت شود. قطر بیرونی پیستون نیز تا جایی که امکان دارد باید صاف و صیقلی باشد. هنگامی که آنها با یکدیگر در تماس لغزشی می باشند، یک لایه روغن فشرده بین آنها وجود دارد که منجر به ایجاد اصطکاک زیاد و حرارت موضعی می گردد. به همین دلیل روی سطح قطر بیرونی پیستون باید شیار مناسبی جهت نگهداری روغن، میان پیستون و سیلندر وجود داشته باشد.
3- بهتر است ضخامت پیستون حداقل 60 تا 80 درصد اندازه قطر داخلی سیلندر باشد، این بدین معناست که برای سیلندری به قطر داخلی100mm اندازه ضخامت پیستون حداقل 60mm تا 80mm خواهد بود. این به خاطر آن است که پیستون های بزرگ تر شافت را بهتر هدایت خواهند کرد. همچنین برخی اوقات با توجه به بار جانبی بر روی شافت، پیستون ساییده شده و فشار موضعی بر روی قطر داخلی سیلندر وارد می شود. به علت بزرگ بودن ناحیه تماس، تنش مقاومتی موضعی یا تنش شکست (تنش فشاری) در یک مساحت بزرگ توزیع شده و در نتیجه تنش کاهش یافته و از محدوه مجاز عبور نمی کند.
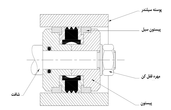
4- برای محافظت از سیل ها و جهت آسان شدن مونتاژ نوع جدیدی از پیستون سیل های فشرده به صورت دو تکه ساخته می شود.
همان گونه که در شکل زیر نشان داده شده است.

جنس ساخت:
پیستون می تواند با توجه به نوع کاربرد از فولاد، آلومینیوم، برنز، چدن و غیره ساخته می شود. اما باید مراقب بود که ماده نرم تر سطح داخلی سیلندر را بساید. مواد سخت ممکن است به سطح صیقلی درون سیلندر آسیب رساند. همیشه چدن یکی از مطلوب ترین مواد می باشد که به صورت گسترده در ساخت پیستون به کار می رود.












































 
  
  
  
  
 